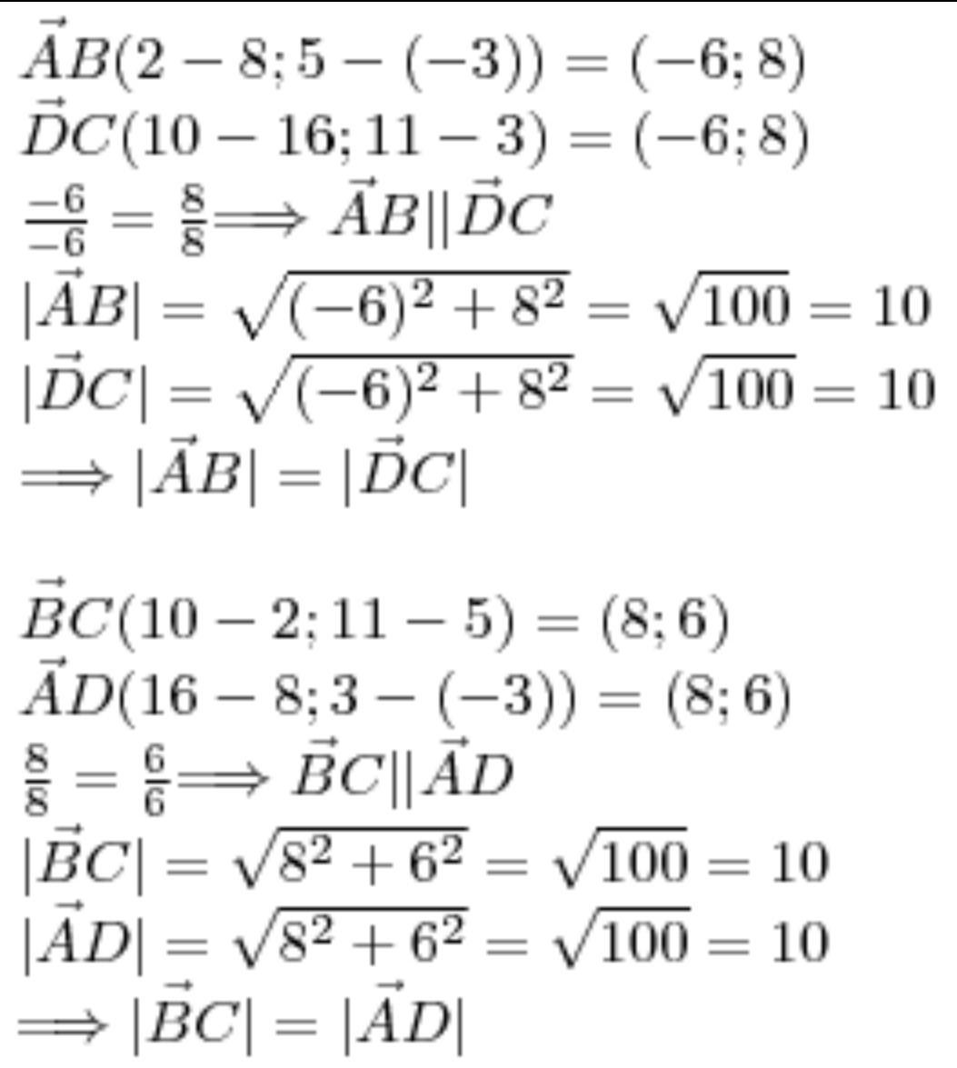
дан черырёх угольник АВСD с вершина в точках А(8;-3) В(2;5) С(10;11) D(16;3)
Докажите что данный четырёх угольник является паралелограммом
Ответы
Ответ дал:
1
Объяснение:
все на фотографиях!!!!
Приложения:


Вас заинтересует
2 года назад
7 лет назад
7 лет назад
9 лет назад