• Предмет: Алгебра
  • Автор: Diana3012956
  • Вопрос задан 3 года назад

даю 20 баллов, побыстрее пожалуйста

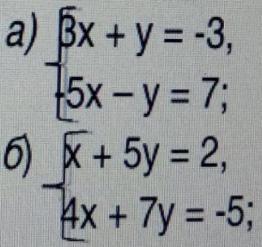
Приложения:

Ответы

Ответ дал: gohalox
0

Ответ:

a)(x,y)=(1/2,-9/2)

б)(x,y)=(-3,1)

Объяснение:


Diana3012956: што значит 1/2 ??
Diana3012956: 1/2 9/2 што значет?
gohalox: дробь
Ответ дал: KylieJr
0
А) 3х+у=3/5х-у=7
Б) х+5у=2/4х+7у=-5
Вас заинтересует