• Предмет: Математика
  • Автор: nellimiller139
  • Вопрос задан 3 года назад

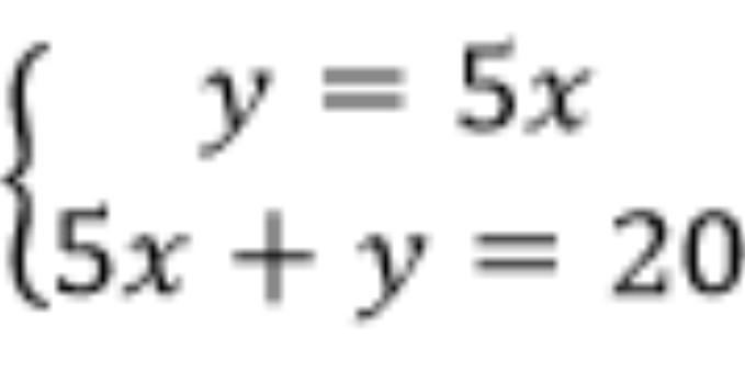
Решите систему уравнений: ​

Приложения:

Ответы

Ответ дал: ildar502020
0

Ответ:  х=2;  у=10.

Пошаговое объяснение:

у=5х;             (1)

5х+у=20.      (2)

---------

Из  (1)  подставляем во  (2):

5х+5х=20;

10х=20;

х=2.

у=5х=5*2=10.

Вас заинтересует