• Предмет: Геометрия
  • Автор: ametovaselimam
  • Вопрос задан 3 года назад

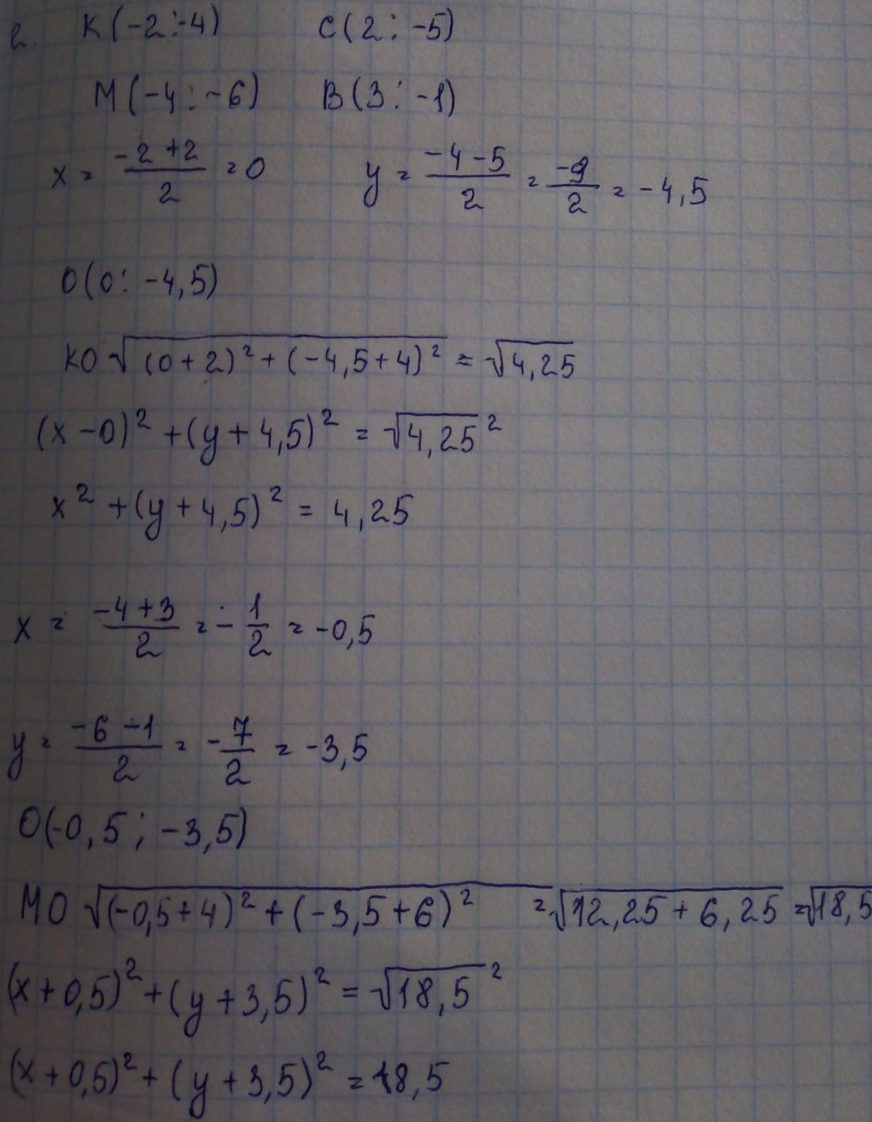
даны координаты вершин четырёхугольника КМСВ: К(-2;-4); М( -4; -6); С( 2;-5); В( 3;-1). Написать уравнения прямых КС и МВ.
ПОЖАЛУЙСТА!!!! СРОЧНО НУЖНО...​

Ответы

Ответ дал: e1144797
25

Ответ:

Держи))))) Учитель проверил

Приложения:

denisdanalonry: Спасибо
Вас заинтересует