• Предмет: Алгебра
  • Автор: dasha3zvyagintseva
  • Вопрос задан 3 года назад

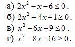
Решите неравенство с помощью

построения квадратичной функции:

Приложения:

Ответы

Ответ дал: sup3rmaslan
0

Ответ:

хз

Объяснение:

хз


sup3rmaslan: хз
Вас заинтересует