• Предмет: Математика
  • Автор: amanzanensegen
  • Вопрос задан 3 года назад

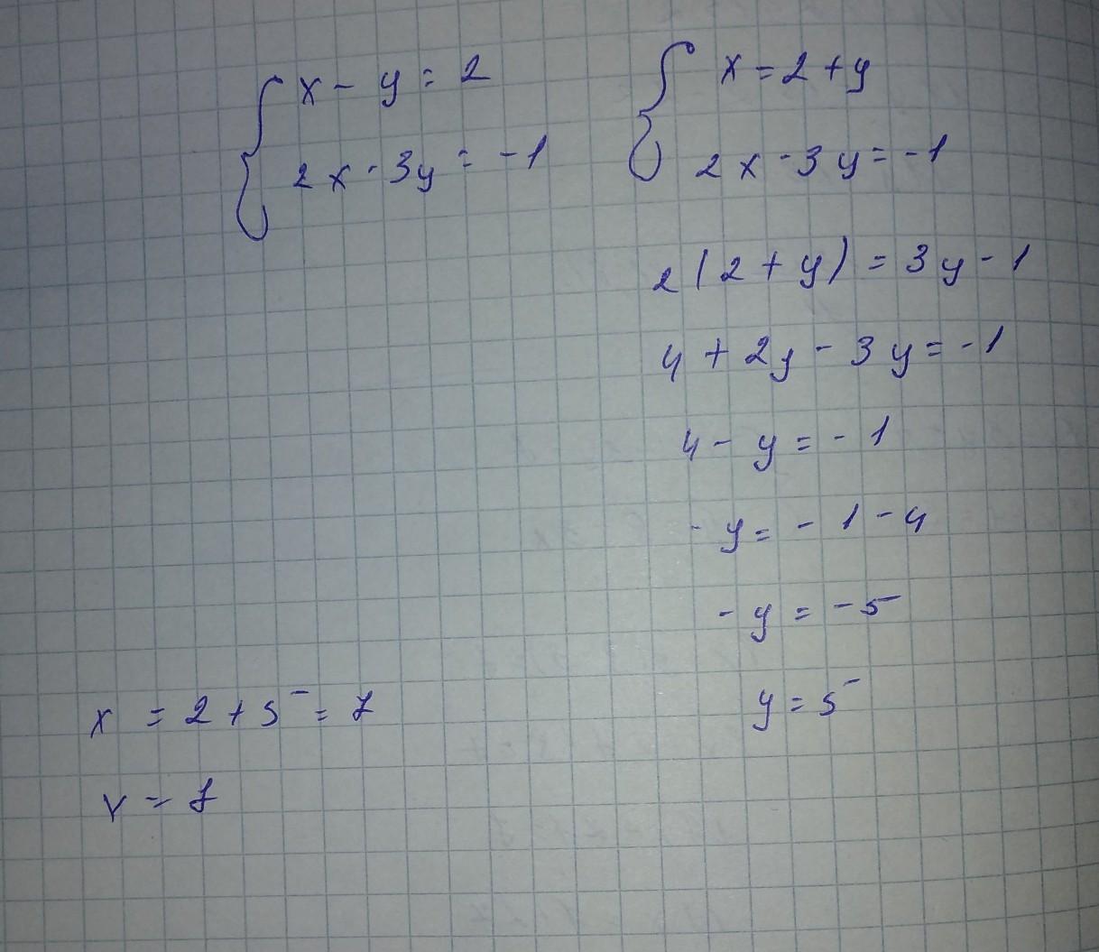
СРОЧНО!!!!!!ПЖ!!!​РЕШИТЕ СИСТЕМУ УРАВНЕНИЙ!!!

Приложения:

Ответы

Ответ дал: loveyou877
1

Пошаговое объяснение:

Методом подстановки//////////

Приложения:
Вас заинтересует