• Предмет: Математика
  • Автор: hsscd
  • Вопрос задан 3 года назад

СРОЧНО ОЧЕНЬ ПЛИЗ ПЛИЗ

Приложения:

Ответы

Ответ дал: yelizavetapotapenko
0

Ответ:

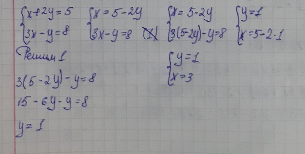
Ответ:(3,1)

так и запиши в конце

Приложения:
Вас заинтересует