Ответы
Ответ дал:
2
Ответ:
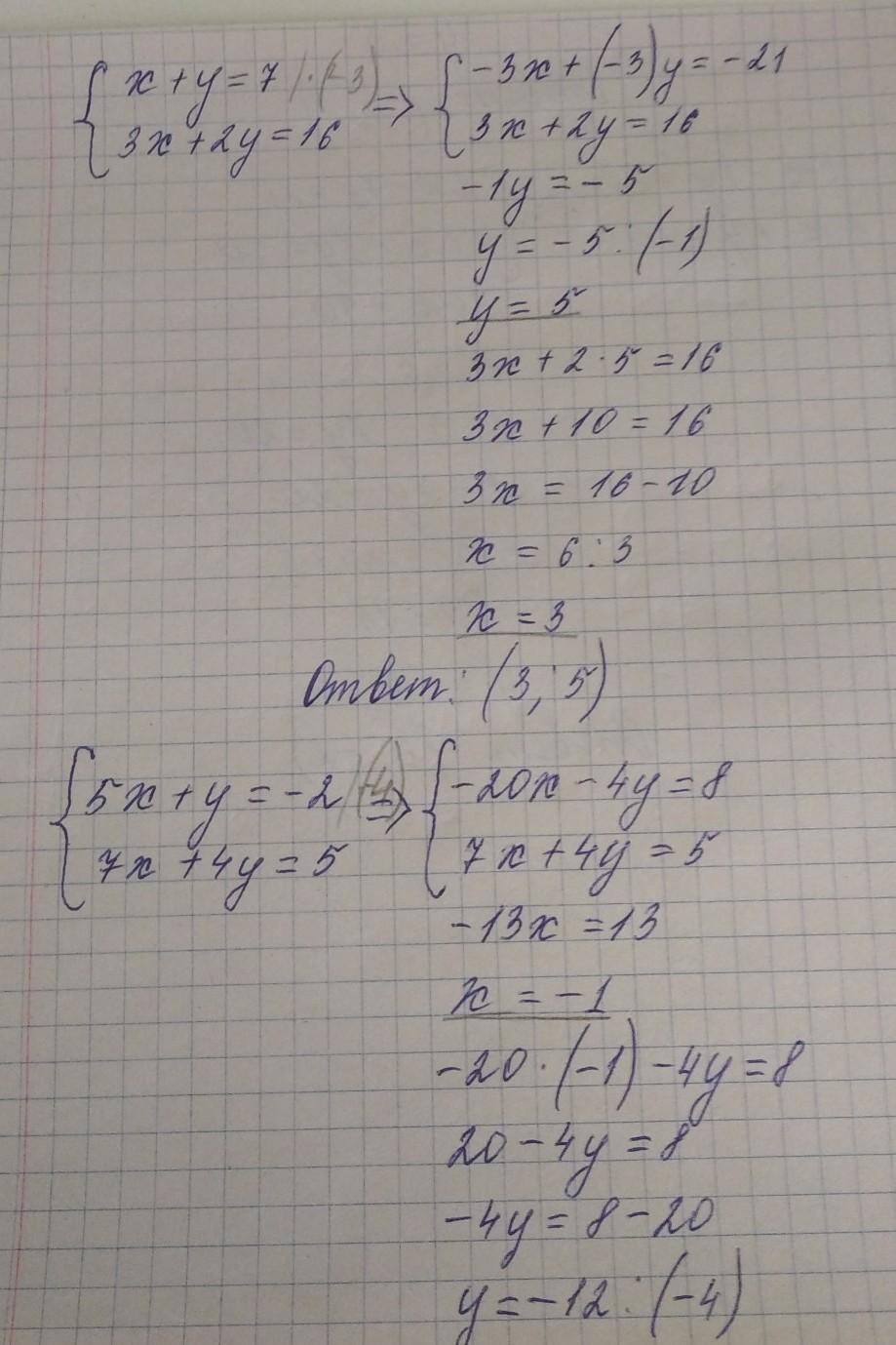
(3;5);(-1;3);(3;-2)
Приложения:


aigerim0080:
в 1 только х=6:3=2, не 3 :)
Ответ дал:
1
Ответ:
1) 4x=23. 5,75+y=7
x=23:4. y=7-5,75
x=5,75. y=1,25
2) 12x=3. 0,25+y=-2
x=3:12. y=-2-0,25
x=0,25 y=-2,25
3) 6x=30. 5+y=10
x=30:6. y=10-5
x=5. y=5
Надеюсь что, правильно.
Вас заинтересует
2 года назад
2 года назад
2 года назад
7 лет назад
9 лет назад