• Предмет: Математика
  • Автор: Аноним
  • Вопрос задан 3 года назад

помогите пожалуйста даю 25 баллов

Приложения:

Ответы

Ответ дал: ichbinyura
1

Ответ:

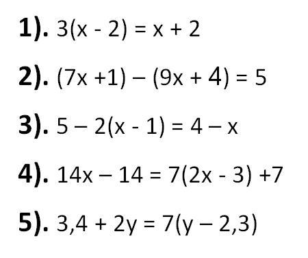
1) 3(x-2)=x+2

  3x-6=x+2

  4x=8

  x=2

2) (7x+1)-(9x+4)=5

   7x+1-9x-4=5

  -2x-3=5

   -2x=8

    x=4

3) 5-2(x-1)=4-x

   5-2x-2=4-x

   x=-1

4) 14x-14=7(2x-3)

   14x-14=14x-21

   невозможно решить

5) 3,4+2y=7(y-2,3)

   3.4+2y=7y-16.1

   5y=19.5

   y=3.9

Вас заинтересует