• Предмет: Алгебра
  • Автор: usacevamaria98
  • Вопрос задан 3 года назад

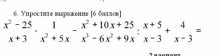
Упростите выражение
СРОЧНО

Приложения:

Ответы

Ответ дал: wieslawlozickip5w1nd
0

Ответ:

Объяснение:

(x²-25)/(x+3) * 1/(x²+5x)  -  (x²+10x+25)/(x³-6x²+9x) : (x+5)/(x-3) + 4/(x-3)=

=(x+5)(x-5) /(x+3) * 1/x(x+5) - (x+5)²/(x(x²-6x+9) * (x-3)/(x+5) + 4/(x-3)=

=(x-5)/x(x+3) - (x+5)(x-3)/x(x-3)² +4/(x-3)=

=(x-5/x(x+3) -(x+5)/x(x-3) + 4/(x-3)=

=[(x-5)(x-3) - (x+5)(x+3) + 4x(x+3) ] /x(x²-9)=

=(-16x + 4x²+12x)/x(x²-9) =  4x(x²-4x+3) / x(x²-9)=

=4x((x-1)(x-3) / x(x²-9)=4(x-3)/(x+3)

Вас заинтересует