• Предмет: Математика
  • Автор: rinasomni
  • Вопрос задан 3 года назад

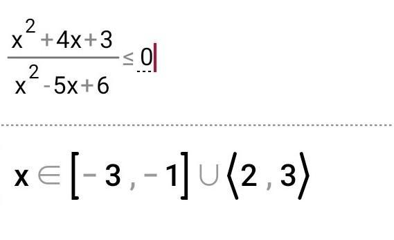
Можно только ответ, без решения! ​

Приложения:

Ответы

Ответ дал: clown3642
1

Ответ:

ответ внизу где написано х<

Приложения:
Вас заинтересует