• Предмет: Алгебра
  • Автор: MartinLis
  • Вопрос задан 3 года назад

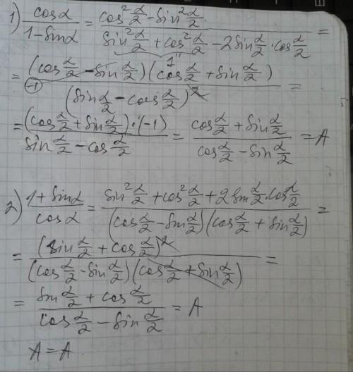
Помогите 5,6. 33 БАЛЛА

Приложения:

Ответы

Ответ дал: angelina2538
1

тут пятое и шестое..............

Приложения:
Вас заинтересует