• Предмет: Алгебра
  • Автор: Nastya15523
  • Вопрос задан 3 года назад

Пожалуйста очень срочно нужно?

Приложения:

Ответы

Ответ дал: Vrinda16108
0

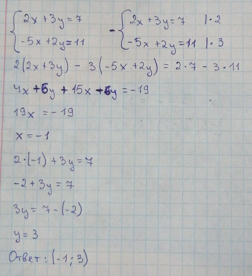
Ответ:

Насчёт второго точно не знаю, но вроде бы так

Приложения:
Вас заинтересует