• Предмет: Геометрия
  • Автор: RESHITEPZH
  • Вопрос задан 3 года назад

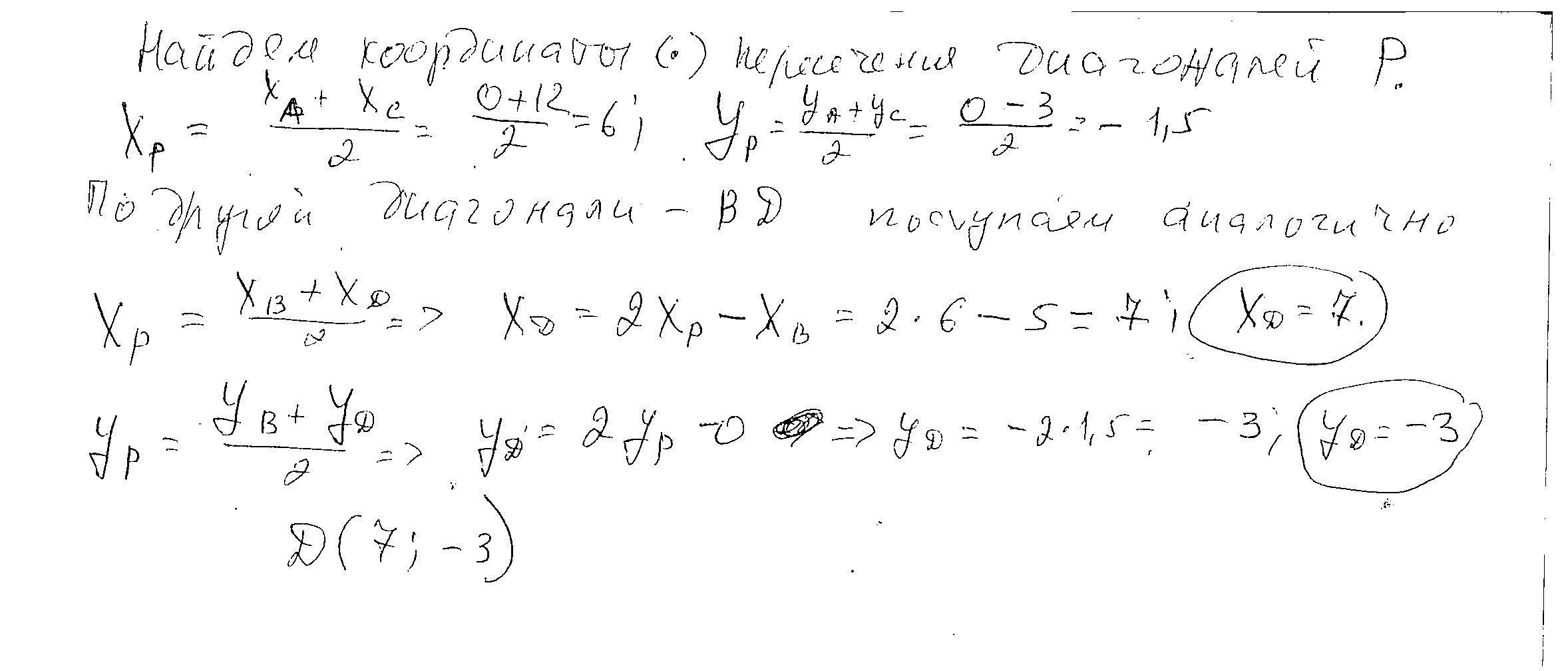
2.Точки А(0;0) B(5;0) C(12;-3) Д(x,y) - вершины параллелограмма АВСД.Найти координаты точки Д. Точка Р - точка пересечение диагонали параллелограмма.

СРОЧНО ПОМОГИТЕ!ДАЮ 50 БАЛЛОВ.ЗАРАНИЕ СПАСИБО!

Ответы

Ответ дал: ужнеужели
0

Ответ:

Объяснение:

во вложении

Приложения:
Вас заинтересует