СРОЧНО 1 ЗАДАНИЕ С ПОЯСНЕНИЯМИ РЕШИНИЯМИИ ПО ПОРЯДКУ
Приложения:
hafizovaaligiza:
Почему написано "1-4" класс это же задание 6 класса
Я 6 класс ( просто не знаю как поменять
Ответы
Ответ дал:
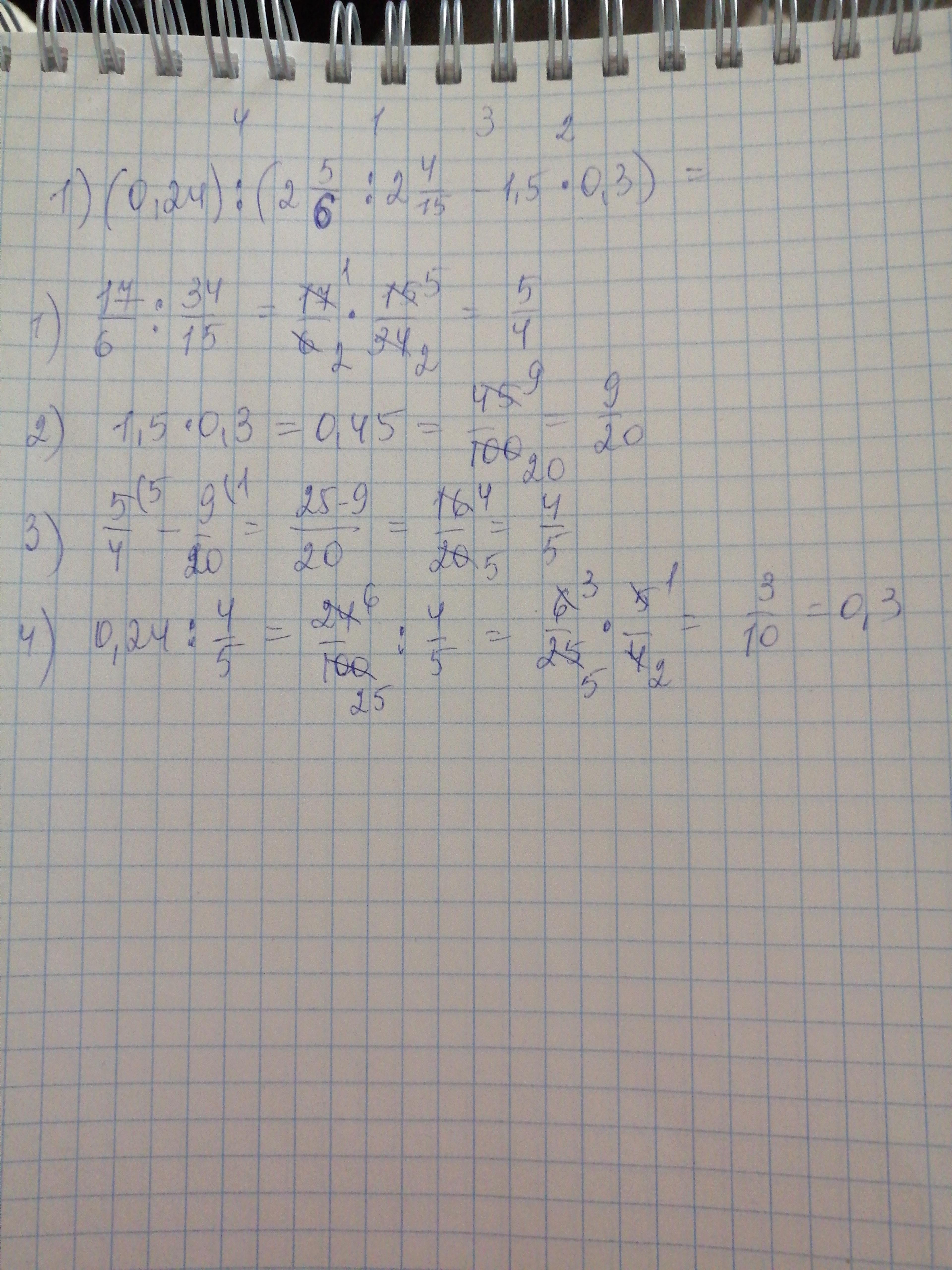
1
Ответ:
0.3
Пошаговое объяснение:
Приложения:
Ответ дал:
0
Ответ:0,3
Пояснения: их нет просто не могу нормально сфоткать листик (((
Пояснения: их нет просто не могу нормально сфоткать листик (((
Вас заинтересует
2 года назад
2 года назад
2 года назад
8 лет назад
8 лет назад