• Предмет: Алгебра
  • Автор: kundryukov05
  • Вопрос задан 3 года назад

Кто решит все получит 50 балов

Приложения:

Ответы

Ответ дал: Ve4noMolodoY
0

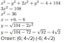
Ответ: Первое задание, позже ещё скину

Приложения:
Вас заинтересует