Ответы
Ответ дал:
1
Ответ:
скинула фото с ответами))
Приложения:


gimoxet870:
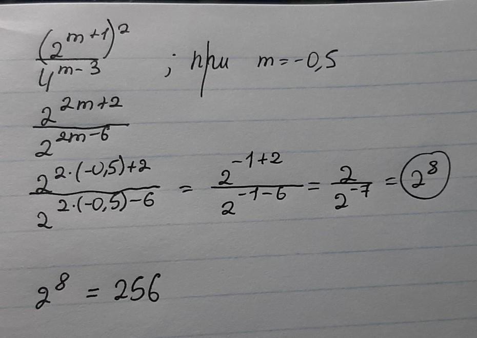
Там 4^m-3, а не 4^m-5, ну ладно щас попытаюсь решить
Вас заинтересует
2 года назад
2 года назад
2 года назад
2 года назад
7 лет назад
7 лет назад