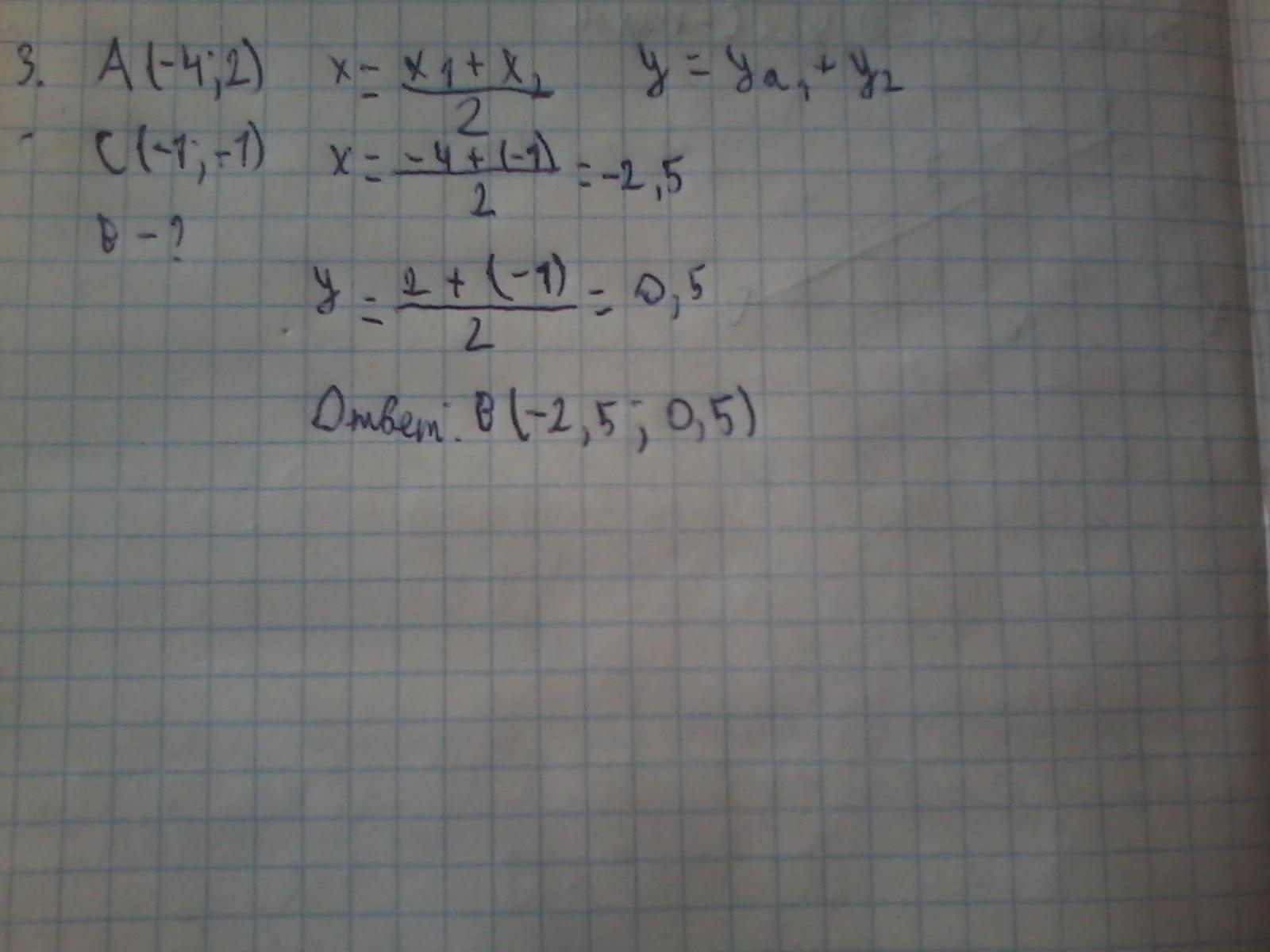
Даны точки A, B, C. Если A(-4;2), C(-1;-1) является серединой отрезка AB, то найдите координаты точки B.
Ответы
Ответ дал:
10
Ответ:
Объяснение:Вот ответ вроде правильно.
А еще рекомендую посмотреть Влад А4 видосы просто бомбические и крутые и незабуть про красную кнопку подписаться она должна стать серой подпимывайтесь...........
Приложения:

Вас заинтересует
2 года назад
2 года назад
2 года назад
7 лет назад
7 лет назад
9 лет назад
9 лет назад