• Предмет: Алгебра
  • Автор: Anasteziia
  • Вопрос задан 3 года назад

Помогите пожалуйста, и быстрее, если можно

Приложения:

Ответы

Ответ дал: Zombynella
0

Ответ:

2.

Объяснение:

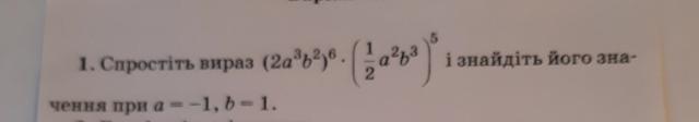
Упростить:                                

(2а³b²)⁶ * (1/2a²b³)⁵=

=2⁶a¹⁸b¹² * (a¹⁰b¹⁵)/2⁵=

=(2⁶a¹⁸b¹² * a¹⁰b¹⁵)/2⁵=

сокращение 2⁶ и 2⁵ на 2⁵:

=2а²⁸b²⁷;

Вычислить при а= -1; b=1:

2а²⁸b²⁷= 2*(-1)²⁸ * 1²⁷=

=2*1*1=2.

Вас заинтересует