• Предмет: Математика
  • Автор: ira17124
  • Вопрос задан 3 года назад

1. Серед чисел 1; 2; 3; 4 коренем рівняння 3х – 1 = 5 є число: *
А) 1
Б) 2
В) 3
Г) 4.
2. Многочлен х² – 3х + 4 + 6 у стандартному вигляді записується так: *
А) -х² + 10
Б) х² – 3х + 10
В) х² – 7х
Г) 8х²
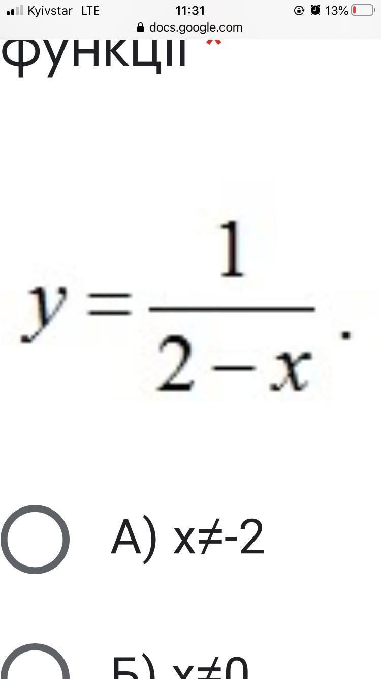
3. Знайдіть область визначення функції *
Зображення без підпису
А) x≠-2
Б) x≠0
В) x≠2
Г) x = 2
4. Знайти розв’язок системи рівнянь: *
Зображення без підпису
А) (1; 1)
Б) (1; 2)
В) (2; 1)
Г) (2: 2)
5а. Спростіть вираз: (2а – 3)² + (3 – 2а)(3 + 2а) –3(a + 2)(3а – 1); (у відповідь вказати ПОВНЕ розв"язання виразу) *
Ваша відповідь
5б. Спростіть вираз (у відповідь записати ЛИШЕ одночлен): *
Зображення без підпису
Ваша відповідь
6. Розв'яжи задачу ( у відповіді вкажи ПОВНИЙ розв'язок задачі із усіма поясненями!!!). За 9 ручок і 4 олівці заплатили 4 грн 20 к. Скільки коштує одна ручка та один олівець, якщо дві ручки дорожчі за 3 олівці на 35 копійок? *
Ваша відповідь
7. Розв'яжи рівняння ( у відповіді вкажи ПОВНЕ розв'язання рівняння з усіма записами!!!). *
Зображення без підпису
Ваша відповідь
8. Доведіть (у відповіді вкажи ПОВНИЙ запис доведення!!!), що
Зображення без підпису
Ваша відповідь
Надіслати

Приложения:

Ответы

Ответ дал: daradobyseva
5

1-Б;

2-Б;

3-А(але в цьому я не впевнена);

4-Б;

5: (перепишеш умову)=> 4а^2-2*2а*3-9+9+6а-6а-4а^2-3(3а^2-а+6а-2)=0;

4а^2-12а-4а^2-9a^2+3a-18a+6=0;

-9а^2-27a+6=0

D=b^2-4ac;

D=513(але квадрат не добувається, напишіть, може пів бала зарахує)

Вас заинтересует