• Предмет: Алгебра
  • Автор: DoNaTiK13892
  • Вопрос задан 3 года назад

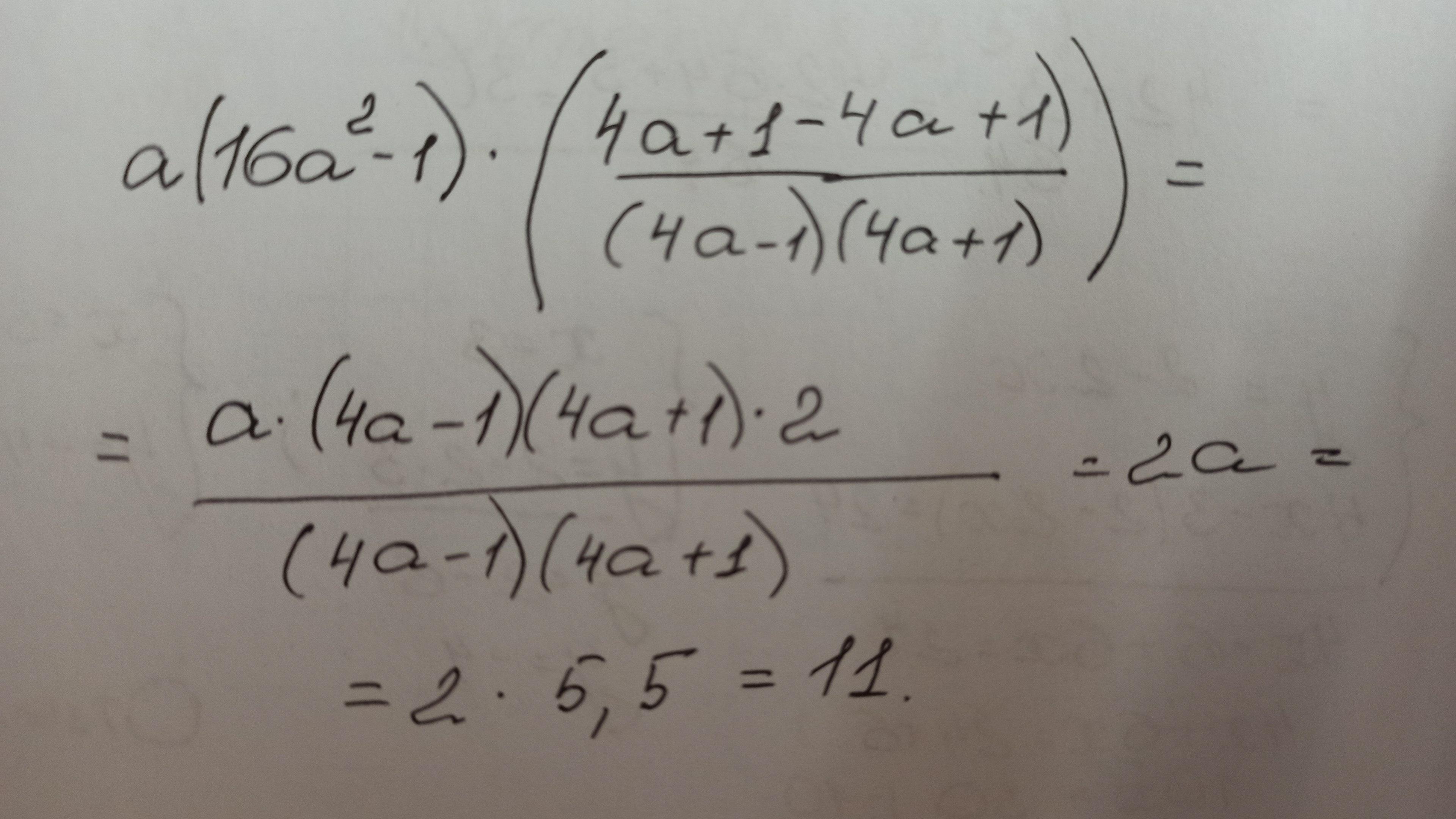
ребят упростите выражение и подставьте a=5.5
пожалуйста,срочно надо..

Приложения:

Ответы

Ответ дал: scorostnaja
1

Ответ:

Объяснение:решение на фото

Приложения:

DoNaTiK13892: спасибо:)
DoNaTiK13892: можешь еще помочь,пожалуйста?
scorostnaja: Да
Вас заинтересует