• Предмет: Алгебра
  • Автор: rostislav20137575
  • Вопрос задан 3 года назад

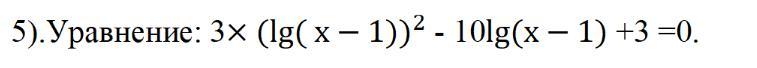
Срочно помогите решить, пожалуйста

Приложения:

Ответы

Ответ дал: Evgenia4836
1

Ответ:

Объяснение:

ОДЗ: x>1

lg(x-1)=t

3t²-10t+3=0

D=100-36=64

t1= (10-8)/6= 1/3

t2= (10+8)/6= 3

1) lg(x-1)= 1/3

x-1= ∛10

x1=∛10+1

2) lg(x-1)= 3

x-1= 10³

x2=1001

Ответ дал: wnull
1

Помним, что

lg = log_{10}

Решаем

3log_{10}(x-1)^2-10log_{10}(x-1)+3=0\\

Используем метод замены

log_{10}(x-1) = t

3t^2-10t+3=0\\t=\frac{1}{3}\\t=3

Обратная подстановка

log_{10}(x-1)=\frac{1}{3}\\x-1=10^{\frac{1}{3}}\\x=\sqrt[3]{10}+1\\\\log_{10}(x-1)=3\\x-1=10^3\\x=1001

Итог

x_1=\sqrt[3]{10}+1\\x_2=1001

Вас заинтересует