• Предмет: Алгебра
  • Автор: kravcukila427
  • Вопрос задан 3 года назад

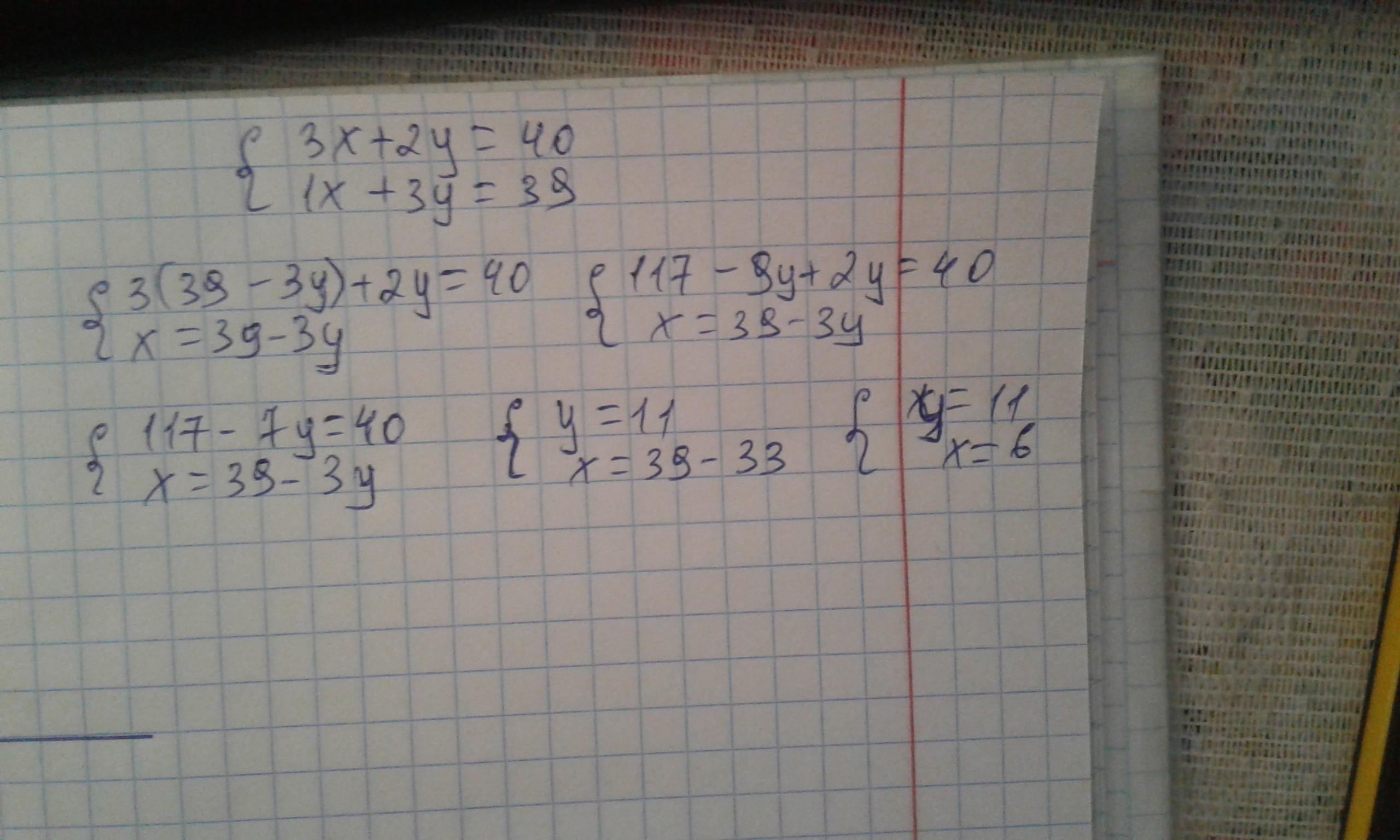
Решите зодачу составив её в систему уровнений 3 перорожка и 2 булочки стоят 40 рублей 1 перодок и 3булки стоят 39 рублей Сколько стоит перожок? Сколько стоит Булочка?

Ответы

Ответ дал: Evgenia4836
0

Ответ:

пирожок стоит 6 рублей, булочка 11 рублей

Объяснение:

3x+2y=40

x+3y=39

3x+2y=40

3x+9y=117

7y=77

y=11

x=6

Ответ дал: akosybaeba
0

Ответ:

пирожок-6

булочка-11

Решение:

Приложения:
Вас заинтересует