Ответы
Ответ дал:
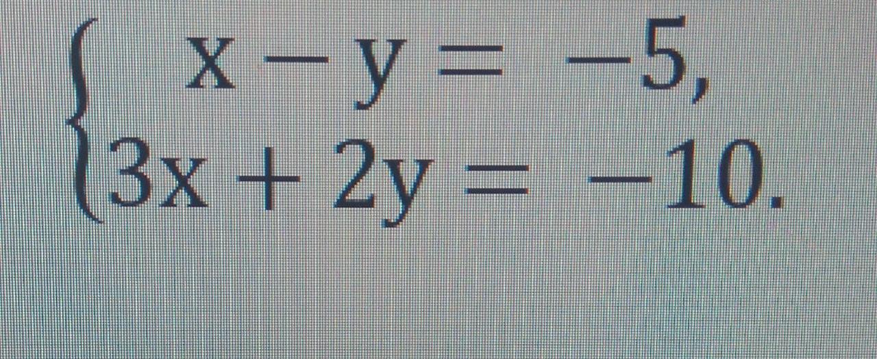
1
Ответ:
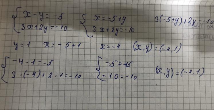
скинула фото с ответом)))
Приложения:

Qwrydhjsgo:
спасибо
Ответ дал:
0
Я надеюсь помогла вам
Приложения:

Вас заинтересует
2 года назад
2 года назад
2 года назад
2 года назад
7 лет назад
9 лет назад
9 лет назад