• Предмет: Математика
  • Автор: alinagololobova99
  • Вопрос задан 3 года назад

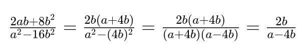
сократите дробь
пожаааалуйста помогите ​

Приложения:

Ответы

Ответ дал: erekovna2008gmailcom
0

Ответ:

Новерно в числителе 2ab, a не 12ab

Приложения:
Вас заинтересует