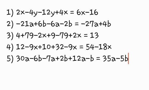
№1 Раскрой скобки приведи подобные члены
1) 2(x-2y)-4(ЗУ-Х)
2) -3(7а-2в)-(6a+2в)
3) (4+79-2х-(-9-79+2х)
4) 12-(9x-10)+(32-9X)
5) 6(5а-в)-(7а-2в)+(12а-в)
пожалуйста помогите
Ответы
Ответ дал:
1
Пошаговое объяснение:
Подобные-это те которые с одной и той же буквой(6а;14а)
3) +79 и -79 взаимно уничтожаются,так же -2x и +2x
Приложения:
Вас заинтересует
2 года назад
2 года назад
2 года назад
2 года назад
8 лет назад
8 лет назад
9 лет назад