• Предмет: Математика
  • Автор: thewatcher73
  • Вопрос задан 3 года назад

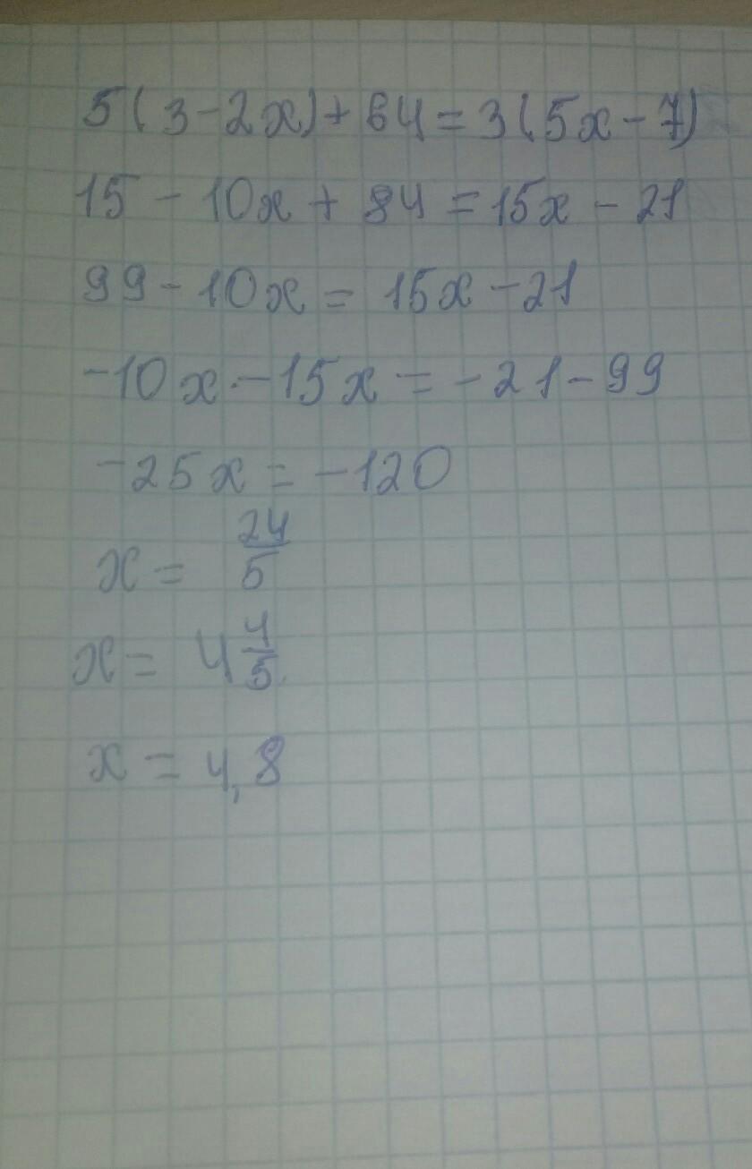
5(3-2х)+64=3(5х-7)

помогите :D​

Ответы

Ответ дал: tssabodash
0

Ответ:

Пошаговое объяснение:

15-10х+64=15х-21

-10х-15х=-21-15-64

-25х=-100

х=-100/(-25)=4

Ответ дал: lesia111139
0

Ответ:

все правильно. Успіхів.

Приложения:
Вас заинтересует