Ответы
Ответ дал:
0
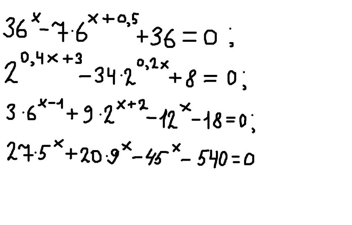
6^x=t
t²-7√6t+36=0
t=1/2(7√6+-√150)=1/2(7√6+-5√6)
t1=6√6 x=3/2
t2=√6 x=1/2
2^(0,2x)=t
8t^2-34t+8=0 4t^2-17t+4=0
t=1/8(17+-√(289-64))=1/8(17+-15)
t=1/4 0,2x=-2 x=-0,1
t=4 0,2x=2 x=10
36*(2^x-1/2)+6^x(1/2-2^x)=0
(2^x-1/2)(36-6^x)=0
x=-1
x=2
5^x(27-9^x)+20(9^x-27)=0
(5^x-20)(27-9^x)=0
9^x=27 3^2x=3^3 2x=3 x=1,5
5^x=20
x=ln(5)20
t²-7√6t+36=0
t=1/2(7√6+-√150)=1/2(7√6+-5√6)
t1=6√6 x=3/2
t2=√6 x=1/2
2^(0,2x)=t
8t^2-34t+8=0 4t^2-17t+4=0
t=1/8(17+-√(289-64))=1/8(17+-15)
t=1/4 0,2x=-2 x=-0,1
t=4 0,2x=2 x=10
36*(2^x-1/2)+6^x(1/2-2^x)=0
(2^x-1/2)(36-6^x)=0
x=-1
x=2
5^x(27-9^x)+20(9^x-27)=0
(5^x-20)(27-9^x)=0
9^x=27 3^2x=3^3 2x=3 x=1,5
5^x=20
x=ln(5)20
Вас заинтересует
3 года назад
3 года назад
8 лет назад
8 лет назад
11 лет назад
11 лет назад
11 лет назад