• Предмет: Алгебра
  • Автор: Аноним
  • Вопрос задан 3 года назад

ДАЮ 50 БАЛЛОВ СРОЧНО АЛГЕБРА ​

Приложения:

Ответы

Ответ дал: wnull
0

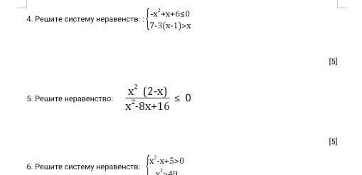
1)

\left \{ {{-x^2+x+6 \leqslant 0} \atop {7-3(x-1)>x}} \right. \\\\x\in (-\infty;-2] \cup [3;+\infty)\\x<\frac{5}{2}

Находим пересечение

x \in (-\infty;-2]

2)

\frac{x^2(2-x)}{x^2-8x+16}<0,~~x\neq 4\\\frac{2x^2-x^3}{(x-4)^2}<0\\\frac{x^2(2-x)}{(x-4)^2}<0\\x^2(2-x)<0\\x \in (2;+\infty), ~~x \neq 4

Находим пересечение

x\in (2;4)\cup(4;+\infty)

3)

\left \{ {{x^2-x+5>0} \atop {x^2>49}} \right. => \left \{ {{x\in R} \atop {x\in (-\infty;-7)\cup(7;+\infty)}} \right.\\

Находим пересечение

x\in (-\infty;-7)\cup(7;+\infty)

Вас заинтересует