• Предмет: Математика
  • Автор: nata2033
  • Вопрос задан 3 года назад

помогите пожалуйсто​

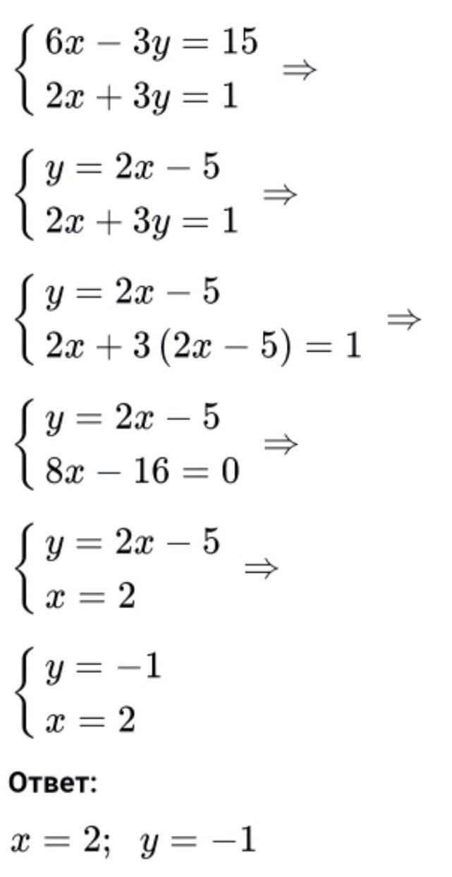
Приложения:

Ответы

Ответ дал: BroDuck
0

////////////////////////////

Приложения:
Вас заинтересует