Помогите решить пожалуйста! В ответе должно быть число, 7 раз перерешал никак не получается...
Приложения:

Ответы
Ответ дал:
0
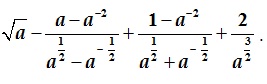
1 дробь
а-a^-2=(a^3-1)/a
a^1/2-a^-1/2=(a-1)/a^1/2
(a^3-1)/a:(a-1)/a^1/2=(a^2+a+1)/a^3/2
2 дробь
1-a^-2=(a^2-1)/a^2
a^1/2+a^-1/2=(a+1)/a^1/2
(a^2-1)/a^2:(a+1)/a^1/2=(a-1)/a^3/2
Получим выражение
a^1/2-(a^2+a+1)/a^3/2+(a-1)/a^3/2+2/a^3/2=(a^2-a^2-a-1+a-1+2)/a^3/2=0
а-a^-2=(a^3-1)/a
a^1/2-a^-1/2=(a-1)/a^1/2
(a^3-1)/a:(a-1)/a^1/2=(a^2+a+1)/a^3/2
2 дробь
1-a^-2=(a^2-1)/a^2
a^1/2+a^-1/2=(a+1)/a^1/2
(a^2-1)/a^2:(a+1)/a^1/2=(a-1)/a^3/2
Получим выражение
a^1/2-(a^2+a+1)/a^3/2+(a-1)/a^3/2+2/a^3/2=(a^2-a^2-a-1+a-1+2)/a^3/2=0
Ответ дал:
0
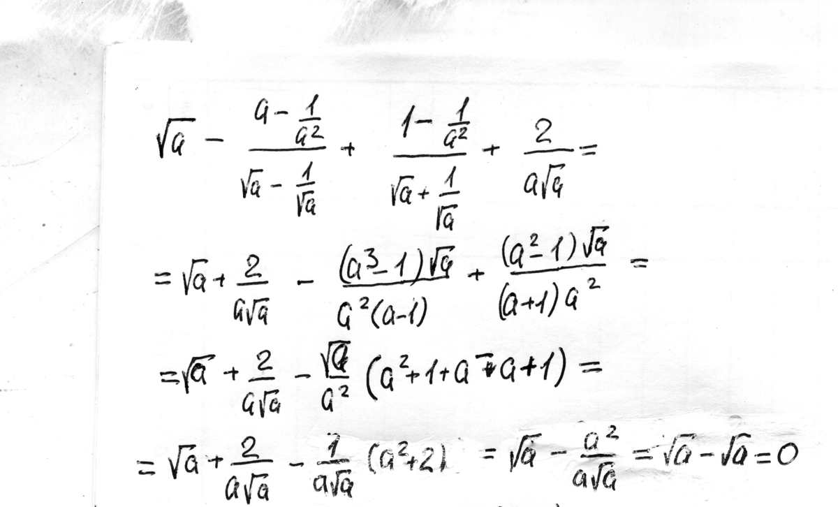
ответ действительно 0. решеение в файле.
Приложения:

Вас заинтересует
8 лет назад
8 лет назад
10 лет назад
10 лет назад