• Предмет: Алгебра
  • Автор: alinka488
  • Вопрос задан 3 года назад

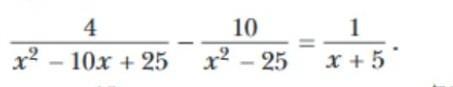
помогите пожалуйста решить уравнение. Заранее спасибо!​

Приложения:

Ответы

Ответ дал: Zombynella
0

Ответ:

х=9.

Объяснение:

4/(х²-10х+25) - 10/(х²-25) = 1/(х+5)

4/(х²-10х+25) - 10/(х²-25) - 1/(х+5) = 0

Знаменатель первой дроби квадрат разности, свернуть: (х-5)², или (х-5)(х-5).

Знаменатель второй дроби разность квадратов, развернуть: (х-5)(х+5).

Общий знаменатель для трёх дробей (х-5)(х-5)(х+5). Надписываем дополнительные множители над числителями, избавляемся от дроби:

4*(х+5) - 10*(х-5) - 1*(х-5)(х-5)=0

4х+20-10х+50-х²+10х-25=0

Приводим подобные члены:

-х²+4х+45=0/-1

х²-4х-45=0, квадратное уравнение, ищем корни:

х₁=(-b+√D)/2a         D=b²-4ac       D=16+180=196

х₁=(4+√196)/2

х₁=(4+14)/2

х₁=9

х₂=(-b-√D)/2а

х₂=(4-14)/2

х₂= -10/2

х₂= -5

Так как согласно ОДЗ (области допустимых значений) х не может быть равен ±5, решением уравнения является один корень, х=9.

Вас заинтересует