• Предмет: Математика
  • Автор: derker97
  • Вопрос задан 3 года назад

Даю 35 баллов помогите пожалуйста!

Приложения:

Ответы

Ответ дал: nastyabykova2222
1

Ответ:

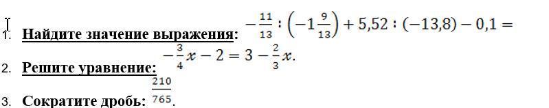
1. 0; 2. -60: 3. 14/51

Пошаговое объяснение:

№1. пример решается по действиям:

1) -11/13 : -22/13 (вторая дробь обращается в неправильную + при делении двух дробей, сами дроби перемножаются, а вторая дробь переворачивается) = -11/13 * -13/22 (дроби сокращаются + получившаяся дробь становится положительной) = 11/22 = 1/2 или 0.5

2) делим 5.52 и -13.8, получаем -0.4

3) по итогу получается: 0.5+(-0.4)-0.1=0.5-0.4-0.1=0.5-0.5=0

№2.

-3/4x-2 = 3-2/3x

2/3x-3/4x=3+2

Общий знаменатель дроби - 12

-1/12x=5

x= -60

№3. Для того, чтобы сократить дробь, нужно разложить и числитель, и знаменатель на множители. Получается, 210/765= 3*5*7*2/3*5*17*3

Отсюда следует, что можно сократить на 15 оба значения, получив дробь 14/51

Вас заинтересует