• Предмет: Алгебра
  • Автор: denentorshedow
  • Вопрос задан 3 года назад

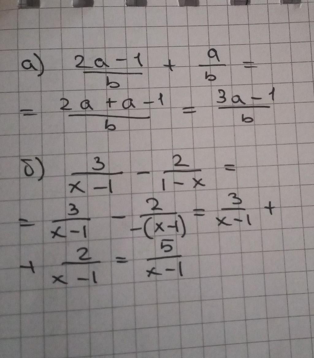
Выполните сложение и вычитание добей ( пж в тетради )

Приложения:

Ответы

Ответ дал: permanentloneliness
0

ответ:

а)

 \frac{3a - 1}{b}

б)

 \frac{5}{x - 1}

Приложения:
Вас заинтересует