• Предмет: Алгебра
  • Автор: aleha41
  • Вопрос задан 3 года назад

помогите с алгеброй 8 класс​

Приложения:

Ответы

Ответ дал: Пеппер
0

Объяснение:

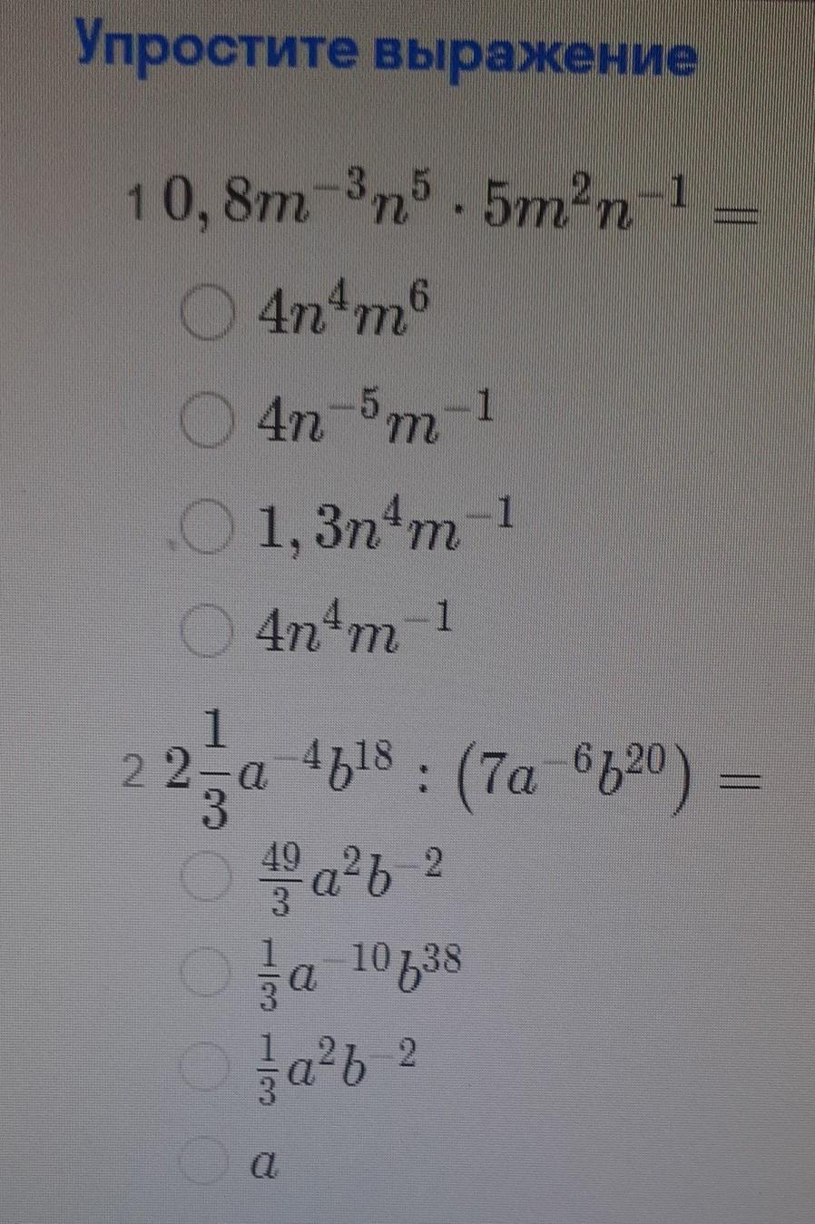
0,8m⁻³n⁵ * 5m²n⁻¹=4n⁴m⁻¹

(2 1/3)a⁻⁴b¹⁸ : (7a⁻⁶b²⁰)=(1/3)a²b⁻²

Вас заинтересует