• Предмет: Химия
  • Автор: всеобаскетболе
  • Вопрос задан 11 лет назад

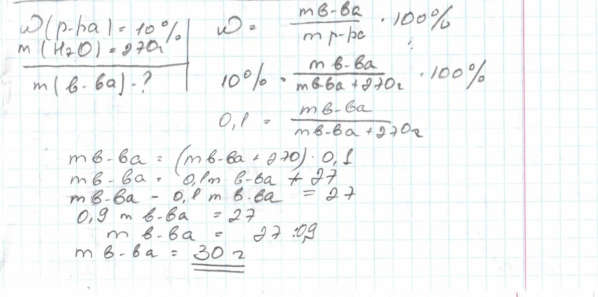
определите массу соли, которую нужно растворить в 270г воды, чтобы получить раствор с массовой долей вещества 10%.

Ответы

Ответ дал: AscarisLumbricoides
0
..........................................
Приложения:
Вас заинтересует