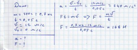
м'яч масою 700 г після удару, який тривав 0,05с набув швидкості 12м/с. Знайти прискорення з ким рухався м'яч та середню силу удару.
Ответы
Ответ дал:
7
Ответ:
а=240 м/с²; F=168 H
Объяснение:
Приложения:
Вас заинтересует
2 года назад
2 года назад
2 года назад
2 года назад
8 лет назад
8 лет назад
9 лет назад