• Предмет: Алгебра
  • Автор: veronikaklukovskaa
  • Вопрос задан 3 года назад

СРОЧНО
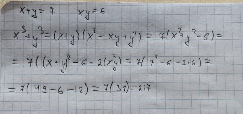
відомо, що x+y=7, xy=6. знайти значення виразу x^3+y^3​

Ответы

Ответ дал: Johnvik228
1

Ответ:

217

Объяснение:

сума кубов,

потом заменяем x^2 + y^2 на (x+y)^2 - 2ab

Приложения:
Вас заинтересует