• Предмет: Химия
  • Автор: VIKTOR999
  • Вопрос задан 11 лет назад

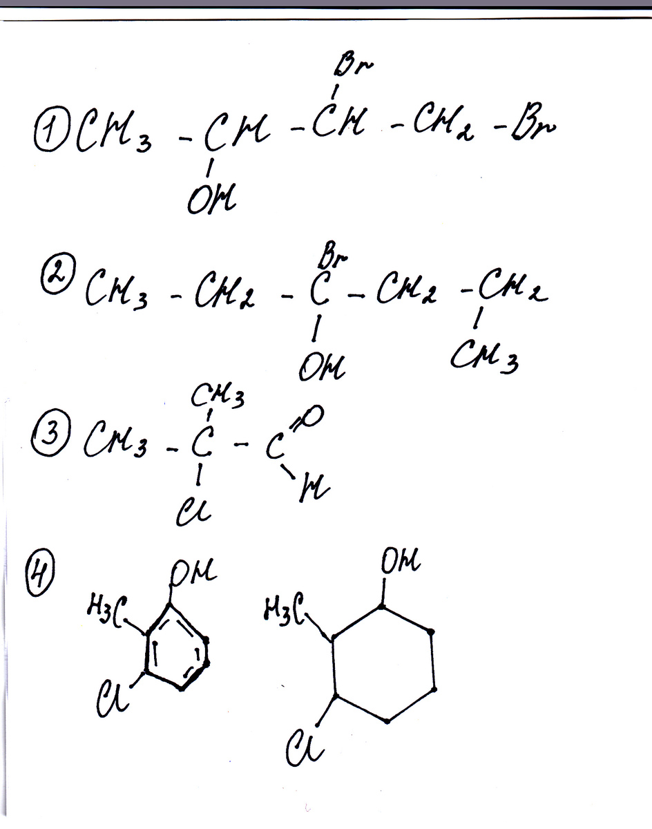
дать названия!( в низу)

Приложения:

Ответы

Ответ дал: Аноним
0

1,3 дибром бутанол-4

3-бромгексанол-3

2-хлорпропаналь-2

2метил-3хлор циклогексанол-1

Ответ дал: tatin
0

3,4-дибромбутанол-2     

3-бромгексанол-3

2-метил-2-хлорпропаналь

2-метил-3-хлорфенол

1-гидрокси-2-метил-3-хлорциклогексан

Вас заинтересует