• Предмет: Алгебра
  • Автор: WaynerNoob
  • Вопрос задан 3 года назад

ОЧЕНЬ СРОЧНО ДАЮ 100 БАЛЛОВ!!!
Пожалуйста помогите

Приложения:

Ответы

Ответ дал: 98484155
0

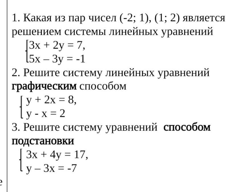
1. (1; 2)

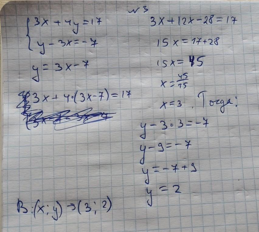
3. 3х+4у=17

   у-3х=-7

   3х=17-4у

   у-3х=-7

   у-(17-4у)=-7

   у=2

   2-3х=-7

   х=3

  Ответ: у=2; х=3.

   

Ответ дал: Johnvik228
0

Ответ:

1.(1;2). 2.(2;4). 3.(3;2).

Объяснение:

Все решалось по условию.

Приложения:
Вас заинтересует