Ответы
Ответ дал:
0
https://photomath.net/s/nZ55vY
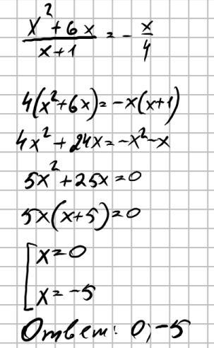
4(х2+6х)+х•(х+1)=0
4х2+24х+х2+х=0
5х2+25х=0
5х•(х+5)=0
х•(х+5)=0
х=0
х+5=0
х=0, х≠-1
х=-5
х=0
х=-5
Ответ:
х1=-5 , х2=0
х2- это х во 2 степени
• - умножить
х1- первое х
х2- второе х
Ответ дал:
1
Ответ:
Объяснение:
Приложения:

Вас заинтересует
2 года назад
9 лет назад