• Предмет: Математика
  • Автор: yanamochalova666
  • Вопрос задан 3 года назад

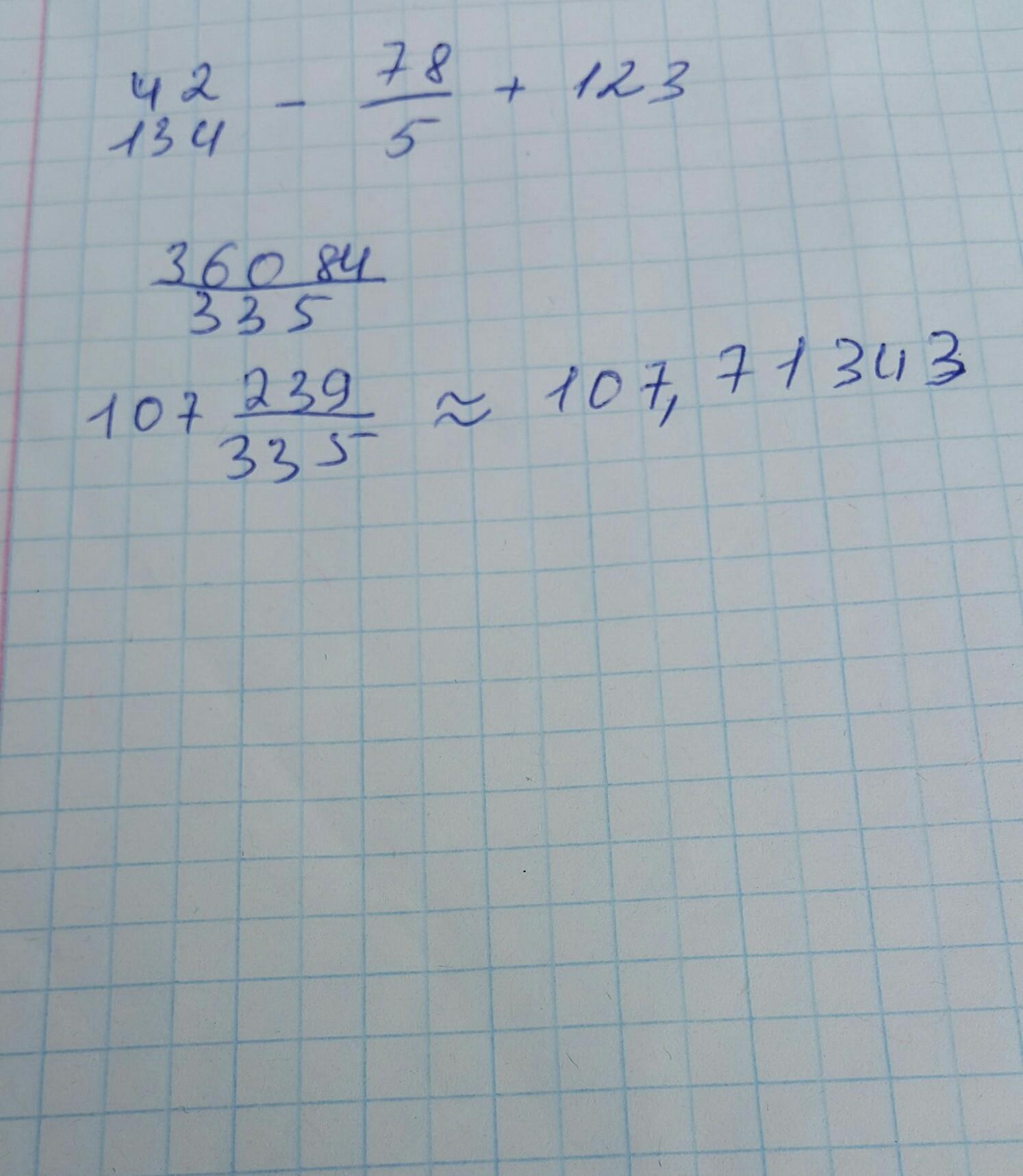
Вычислите: 42:134 – 15,6+123 По действиям.

Ответы

Ответ дал: kasimovbeka
1

Пошаговое объяснение:

это верное решение по моему

Приложения:
Вас заинтересует