• Предмет: Алгебра
  • Автор: linlin15112569
  • Вопрос задан 3 года назад

Пожалуйста помогите! Мне ооочень срочно!
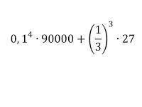
Вычесли:

Приложения:

Ответы

Ответ дал: Juliaa21
0

Ответ:

10

Объяснение:

0.1^4*90000+(\frac{1}{3})^3 *27=0.1^4*9*10^4+(\frac{1}{3})^3*3^3=(10^{-1} )^4 *9*10^4+(3^{-1} )^3*3^3=10^{-4} *9*10^4+3^{-3}*3^3=10^0*9+3^0=1*9+1=10

Вас заинтересует