• Предмет: Математика
  • Автор: kutepovamaria10
  • Вопрос задан 3 года назад

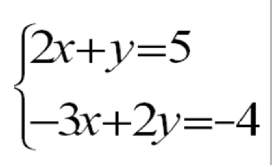
решите систему графическим методом​

Приложения:

Ответы

Ответ дал: nana0514
1

если будут вопросы по тому, как я упростила выражение, то обращайтесь.

Пошаговое объяснение:

1.2х+у=5

у=5-2х

2. -3х+2у=-4

2у=-4-(-3х)

2у=-4+3х

у=(-4+3х):2

далее я построила графики данных функций, подставив значения х в формулу.

координаты точки пересечения графиков являются ответом.

Приложения:
Вас заинтересует