• Предмет: Алгебра
  • Автор: anonim10422
  • Вопрос задан 3 года назад

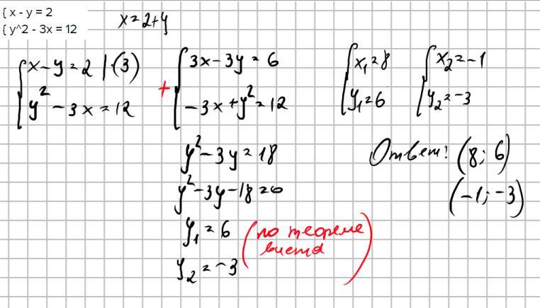
Решите систему уравнений:
{ x - y = 2
{ y^2 - 3x = 12

Ответы

Ответ дал: Ilyazov45
2

Ответ:

(-1;-3)

(8;6)

Объяснение:

Приложения:
Вас заинтересует