• Предмет: Математика
  • Автор: Holodosnik
  • Вопрос задан 3 года назад

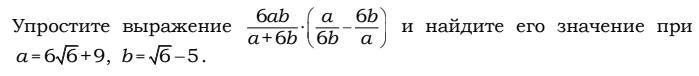
МАТЕМАТИКИ помогите пожалуйста!! Ответ должен быть 39

Приложения:

Ответы

Ответ дал: 9156789033
1

Ответ:Держи

Пошаговое объяснение:

Приложения:

9156789033: 39 никак не может быть
Holodosnik: Значит математичка ошиблась хд
Спасибо!
9156789033: не за что
Вас заинтересует