• Предмет: Химия
  • Автор: Maxim34068
  • Вопрос задан 3 года назад

Помогите пожалуйста
Допишите схемы реакции , подберите коэффициенты методом электронного баланса и укажите восстановитель и окислитель:
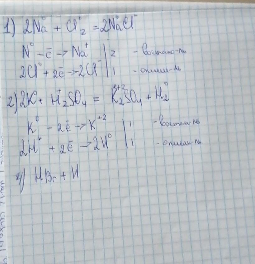
1) Na+Cl2=
2) K+H2+SO4=
3) H2+S+O2=S+H2O
4) HBr+H2SeO4=Br2+H2SeO3+H2O​

Ответы

Ответ дал: krisik0025
1

Ответ:

Это все, что было понятно из твоих записей

Объяснение:

Приложения:

Maxim34068: Спасибо , мне так и нужно было ))
Maxim34068: С последними двумя примера я как-то сам справлюсь , мне главное первые 2 примера , ещё раз спасибо )
Вас заинтересует