• Предмет: Математика
  • Автор: kutepovamaria10
  • Вопрос задан 3 года назад

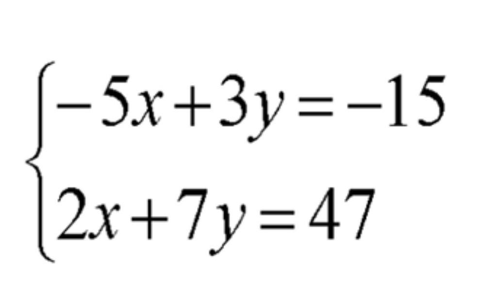
Решить систему методом сложения.

Подсказка: первоначально преобразуйте оба уравнения системы так, чтобы получились противоположные слагаемые у одной из переменных.ПЖ

Приложения:

Ответы

Ответ дал: Yourdream99
0

Ответ:

Смотри ответ ниже на фото

Приложения:
Вас заинтересует