• Предмет: Математика
  • Автор: den50072
  • Вопрос задан 3 года назад

нежно пж очень
там очень легко уровнение

Приложения:

Ответы

Ответ дал: 9156789033
1

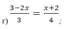
Ответ:

4(3-2x)=3(x+2)

12-8x=3x+6

-11x=-6

x=6/11

Пошаговое объяснение:

Вас заинтересует