• Предмет: Алгебра
  • Автор: biezlatniaia
  • Вопрос задан 3 года назад

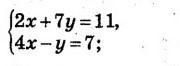
Розвязати систему способом підстановки!
Варіанти:
(1;2)
(2;1)
(-2;1)
(2;-1)

Приложения:

Ответы

Ответ дал: icegolem2022
0

Ответ:

(2;1)

Объяснение:

это ответ правильный

Вас заинтересует